Diamètre de cheminée pour table de poêle à bois
Il est également important de choisir la bonne hauteur et le bon diamètre du tuyau de cheminée. Un calcul incorrect d'au moins un paramètre affectera la poussée et l'efficacité. Les erreurs qui peuvent être commises lors de la conception et de la construction d'une cheminée dans un immeuble d'habitation ou un bain public entraînent souvent des conséquences plus graves : un incendie, la nécessité de dépenses financières pour des modifications, etc. C'est pourquoi il est si important de se conformer aux réglementations exigences lors de la construction d’une cheminée.
Le contenu de l'article
Comment calculer le diamètre de la cheminée
Lors de la conception d’une cheminée, vous devez choisir le matériau à utiliser. Et le matériau dépend en grande partie du combustible qui sera utilisé pour le chauffage. Après tout, la cheminée est conçue pour éliminer les résidus de combustion d'un combustible et ne fonctionnera pas avec un autre. Par exemple, une cheminée en brique fonctionne bien avec du bois de chauffage, mais ne convient pas aux appareils de chauffage utilisant du gaz.
De plus, un calcul correct du diamètre du tuyau domestique est nécessaire. Si la cheminée est utilisée pour un seul appareil de chauffage, le problème peut être résolu en consultant les documents techniques fournis par l'usine qui a fabriqué l'appareil. Et si plusieurs systèmes différents sont connectés à un même tuyau, alors pour calculer la cheminée, vous avez besoin de connaître les lois de la thermodynamique, un calcul professionnel, notamment le diamètre du tuyau. Il est faux de penser qu’un diamètre plus grand est nécessaire.
méthode suédoise
Parmi les différentes méthodes de calcul du diamètre, le schéma optimal est important, surtout si les appareils sont à basse température et à combustion longue.
Pour déterminer la hauteur, le rapport entre la section transversale du tuyau de cheminée et la chambre de combustion interne est pris en compte. La hauteur du tuyau est déterminée selon le planning :

Où f est la surface de la cheminée coupée et F est la surface du foyer.
Supposons, par exemple, que la section transversale du foyer F soit de 70*45=3150 m². cm, et la section transversale du tuyau de cheminée f est de 26*15=390. Le rapport entre les paramètres donnés est (390/3150)*100 %=12,3 %. Après avoir vérifié le résultat obtenu avec le graphique, on constate que la hauteur de la cheminée est d'environ 5 m.
Important! Cette méthode de calcul est plus adaptée aux appareils de cheminée, car elle ne prend pas en compte le volume d'air à l'intérieur du foyer.
Important! Lors de l'installation d'une cheminée pour des systèmes de chauffage complexes, il est important de calculer les paramètres de la cheminée.
Calcul exact
Pour calculer la section requise de la cheminée, veillez à prendre en compte toutes ses caractéristiques. Par exemple, vous pouvez effectuer un calcul standard de la taille d'une cheminée reliée à un poêle à bois. Prenez les données suivantes pour les calculs :
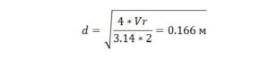
- la température des déchets de combustion dans le conduit est t=150°C ;
- la vitesse de passage des déchets dans le pipeline est de 2 m/s ;
- Le taux de combustion du bois B est de 10 kg/h.
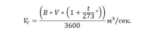
Si vous suivez ces indicateurs, vous pouvez commencer à faire des calculs. Pour cela, calculez la quantité de produits de combustion dégagés à l'aide de la formule :

Ici, V est égal à la quantité d'air nécessaire pour brûler le carburant à une vitesse v=10 kg/heure. Elle est égale à 10 m³/kg.
Il s'avère:

Calculez ensuite le diamètre requis :

Tableau des diamètres de cheminée
Les tableaux de diamètres établis pour diverses cheminées sont désormais pertinents, car de nombreuses personnes préfèrent installer des éléments de tuyaux prêts à l'emploi à partir de divers matériaux. Pour comprendre facilement ces différents matériaux et apprendre à choisir les bons paramètres, des documents ont été élaborés avec des données réglementaires saisies dans des tableaux spécifiques. Les paramètres pertinents sont répertoriés ici. Pour calculer les dimensions requises, vous pouvez utiliser ces tableaux.
Attention! Il convient de rappeler que la section du conduit d'évacuation des fumées doit être supérieure ou égale à la section du canal interne de l'appareil de chauffage.
Les tableaux exacts des diamètres calculés du conduit d'évacuation des fumées pour son bon fonctionnement sont calculés en fonction des paramètres techniques de tous les éléments, selon les recommandations d'experts, des matériaux du conduit d'évacuation des fumées, ou à l'aide des tableaux de diamètres - puissances.

